Your life will be so much better once you stop thinking about what to do and just simply do it. The fear that arise from overthinking will be gone once you put your pen on paper and sign the sample registration form. We’re going to give some tips both to people who wants to register and people who accepts members.
What’s In a Sample Registration Form
When you register, you usually have to fill in some sections. Here are the elaboration on that:
-
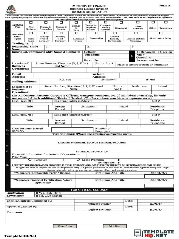
Identity of applicant
To register, the applicant first needs to write down their full name, date of birth, address, and so on. In a paid registration, they also need to write down their account number. This shows that the detail from one form to another varies but the general information asked is the same.
-
Registration details and policy
In most of the sample registration form, there will be some paragraphs. These paragraph usually explain what you’ll get or won’t get when you join the membership. It may also describe the payment method if it is a paid activity.
-
Optional sections
Though the basic structure of the form remains the same, there are usually some sections that are added. There could be a place to specify the different options of the program. There could also be a place to specify the additional features you could get like an activity insurance.
-
Signature
Finally, the form is closed by a signature. This signifies that the applicant fully consent to all the details in the form.
For Recruiters: Tips On Having The Best Members
For an activity to be awesome, you need great members to fill in the sample registration form. To have these great members, we would like to give some tips.
The first tip when recruiting members is to be specific on the type of people that you want. List the ideal age of the applicant, the traits, and the type of experience that you expect they have. You can even be more specific by pointing out when you need them.
The next tip is to pay attention to the sample registration form that are already filled. You don’t want to skim through the information that is given by the applicant. They give that information for a reason. Take note of their identity and contact number for ease of contacting. Most importantly, see the details that they give in the following sections. It could reveal who they really are and what they expect from the activity they register to.
For Applicant: Why Taking a Risk Is So Worth It
Not sure on whether you should fill the sample registration form? Just know this, that once you take a leap, you will instantly expand your world view. You will gain experience in the things that you fear. Doing this continuously will make you more experienced in the thing you are fearful about which makes you fearless.
In order to be more of a risk taker, we suggest you list out your fear. You could list your fear of height or spiders. But, we think that you should list your emotional fear. Then, find an activity that correlates with that fear. Challenge yourself, you will soon see that it is not scary at all. The dopamine will kick in and finally you won’t want to stay in your comfort zone forever.
For applicants, it is time to stop overthinking and take the leap. As for recruiters, it is your job to make their leap easier. All you both have to do is to use the sample registration form!
Business Sample Registration Form
Conference Registration Form
Employer Sample Registration Form Format
Event Sample Registration Form Example
Free Application Form For Trademark Registration
Sample New Patient Registration Form in PDF
Tax Sample Registration Form







