If you use a work schedule template, you can make a deadline for yourself to finish each task. So even if you’re doing multiple tasks at once, you know you’ll finish them at a certain time you decided.
Everyone who’s already working should have a good priority list. They must know how to share their time for work, family, and of course their own social life. How pity, not all workers understand about this, even if they work for years already. They got the money, indeed, but that’s their only achievement. However, don’t let this happen to you (again). To prevent it, we’ll give you some work schedule templates in Excel below.
The Functions of A Work Schedule Template
Very much people asking, what’s the point of making a work schedule? Isn’t it better if we just let our days flow and not too much thinking of strict things? That question makes people underestimate the power of a work schedule. They just don’t know how this kind of schedule could help them maintain a stable life. However, this is the real functions of a work schedule most people don’t know.
- Help You To Arrange Your Priority
When you have a work schedule, you’ll be easier to arrange and manage your priority. In your 24 hours life, you can measure the ideal time when you need to work, play with family, and have a rest. For example, you spend 8 hours working every day, you can give the second 8 hours to interact with your family. However, in the last 8 hours, you can use it to take a rest.
If you have a work schedule and consistently update it, your life will be less anxiety. And eventually, you can reduce your stress.
- Ensure You To Do All The Activities Neatly
Do you ever see someone’s table that’s messed up with the amount of work? If you’re working in the office, that’s the typical scene you’re going to see every day. However, it won’t happen if you schedule all your tasks daily. Being multitasking is good and necessary sometimes, but you also need to work with focus. When you just focus on a task at one time, you could finish it faster and move on to the next task afterward.
- Remind You of The Tasks and Responsibilities
When you have many tasks and responsibilities, you tend to be forgetful easily. That’s because your brain can’t assist to remember all the tasks you must finish. However, forgetting your daily tasks at work will be pretty awful for your success. That’s why you need a work schedule to remind you of the tasks and responsibilities. So when you someday forget what tasks you need to do next, you can just read the schedule.
- Assure You To Finish The Duties and Jobs
This point is related to the previous point about the multi-tasking versus the focus. It’s okay to be a multi-task person, though, as long as you assure can finish all of the tasks punctually. There are so many people out there who’re busy working every day, but, they don’t finish any of it.
- Minimize Your Overtime Working
Overtime working wouldn’t only make you exhausted, but also reduce your quality time with family. If you don’t want this happen to you, then you surely need a work schedule. When you have a work schedule, you can manage yourself to finish all works before 6 pm. So you can directly go home every day and arriving on time.
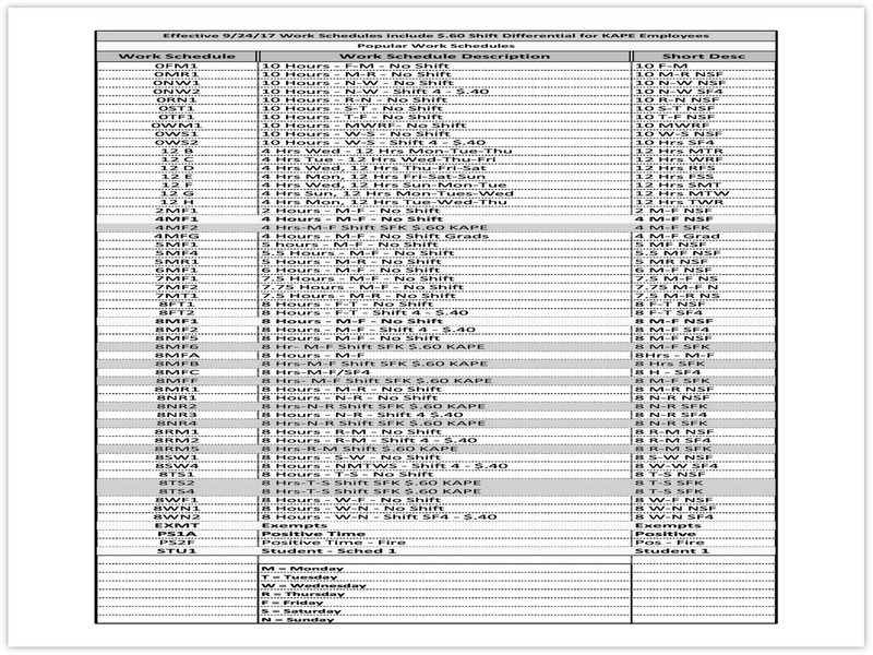
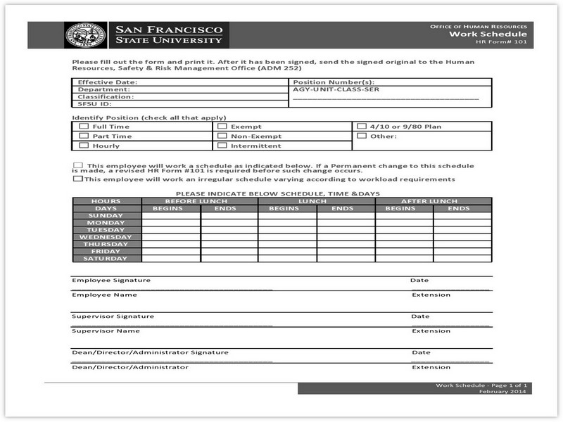
15 Work Schedule Template in Excel You Must Have
Below this, we have some ultimate work schedule template in Excel you could have. The reason we choose Excel is that it’s easy to use and modify. To download the templates, you can pick which one you like and just click on the following links. Read Also : 50 Amazing Workout Schedule Template

[maxbutton id=”2″ url=”https://www.templatehq.net/wp-content/uploads/2021/08/Work-schedule-template-01.zip” text=”Download” ]

[maxbutton id=”2″ url=”https://www.templatehq.net/wp-content/uploads/2021/08/Work-schedule-template-02.zip” text=”Download” ]

[maxbutton id=”2″ url=”https://www.templatehq.net/wp-content/uploads/2021/08/Work-schedule-template-03.zip” text=”Download” ]

[maxbutton id=”2″ url=”https://www.templatehq.net/wp-content/uploads/2021/08/Work-schedule-template-04.zip” text=”Download” ]

[maxbutton id=”2″ url=”https://www.templatehq.net/wp-content/uploads/2021/08/Work-schedule-template-05.zip” text=”Download” ]

[maxbutton id=”2″ url=”https://www.templatehq.net/wp-content/uploads/2021/08/Work-schedule-template-06.zip” text=”Download” ]

[maxbutton id=”2″ url=”https://www.templatehq.net/wp-content/uploads/2021/08/Work-schedule-template-07.zip” text=”Download” ]

[maxbutton id=”2″ url=”https://www.templatehq.net/wp-content/uploads/2021/08/Work-schedule-template-08.zip” text=”Download” ]

[maxbutton id=”2″ url=”https://www.templatehq.net/wp-content/uploads/2021/08/Work-schedule-template-09.zip” text=”Download” ]

[maxbutton id=”2″ url=”https://www.templatehq.net/wp-content/uploads/2021/08/Work-schedule-template-10.zip” text=”Download” ]

[maxbutton id=”2″ url=”https://www.templatehq.net/wp-content/uploads/2021/08/Work-schedule-template-11.zip” text=”Download” ]

[maxbutton id=”2″ url=”https://www.templatehq.net/wp-content/uploads/2021/08/Work-schedule-template-12.zip” text=”Download” ]

[maxbutton id=”2″ url=”https://www.templatehq.net/wp-content/uploads/2021/08/Work-schedule-template-13.zip” text=”Download” ]

[maxbutton id=”2″ url=”https://www.templatehq.net/wp-content/uploads/2021/08/Work-schedule-template-14.zip” text=”Download” ]

[maxbutton id=”2″ url=”https://www.templatehq.net/wp-content/uploads/2021/08/Work-schedule-template-15.zip” text=”Download” ]
